1.ボルダの振り子
| 問題 重力加速度gは何によって生ずるか。原因となる力を2つ挙げよ。 また、地上よりの高さhや緯度とgとの関係はどうか。その理由を 図や式を使って説明せよ。 |
解答
1.1 重力加速度g[kg/m・s2]が生ずる理由
重力加速度はその名のとおり地球の重力、すなわち万有引力によって生ずる加速度である。
地球が物体を引き寄せる力と、物体が地球を引き寄せる力の2の力によって生ずる。
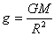
地球の質量をM[kg]、半径をR[m]、物体の質量をm[kg]とすれば、地球上の物体にはたらく
万有引力F[N]は、
(1.1.1)
である(Gは万有引力定数G=6.67259×10-11[N・m2/kg2])。この力が物体にはたらく重力
であり、重力加速度をg[kg/m・s2]とすると、
F = mg (1.1.2)
であるから式(1.1.1)、(1.1.2)より、
(1.1.3)
である。
1.2 地上よりの高さh[m]とgとの関係
地表での重力加速度をg[kg/m・s2]、地表からの高さh[m]での重力加速度をg’[kg/m・s2]、
地球の半径をR[m]とすると、式(1.1.3)より
(1.2.1) ,
(1.2.2)
よって g’/ g は、
(1.2.3)
となる。高さh[m]が地球の半径をR[m]に比べて小さいときには、次の近似式が成り立つ。
なお、式中「〜」を上下に2つ重ねた記号は「≒(ほぼ等しい)」と同じ意味である(Wordの数式エディタ
には≒がないのである)。
(1.2.4)
式(1.2.4)から重力加速度g[kg/m・s2]は、地表からの距離h[m]が小さいときは、hの値が変化しても、
ほぼ一定の値をとる。しかし、ひじょうに高い場所ではgの値が変わる。
1.3 緯度とgとの関係

地球の赤道半径をR[m]、赤道上での万有引力をF[N]、自転の角速度をω[rad/s]とすると、赤道上の
物体にはたらく重力mg[N]は、
mg = F - mRω2 (1.3.1)
となる。両極では遠心力がなく、
mg0 = F (1.3.2)
だから、式(1.3.1)、(1.3.2)より赤道上の重力加速度g[kg/m・s2]は、
g = g0 - Rω2 (1.3.3)
となり、両極での重力加速度g0[kg/m・s2]よりRω2だけ小さくなる。
緯度θ°の地点では自転半径が r[m] = R cosθとなるから、物体にはたらく遠心力は、
mrω2 = mRω2 cosθ (1.3.4)
となる。この遠心力と万有引力とは同一直線上にないので、図1.3のように、平行四辺形の法則で
合成して得た力が重力となる。
また、地上よりの高さhや緯度のほかに重力に影響を与える原因として、地球がわずかに極方向に
つぶれた回転楕円体であることや、地球内部の密度分布の不均一性などが考えられる。