3.ニュートンリング
| 問題 光の干渉のその他の例を一つ挙げ説明せよ。 |
解答 1801年にヤング(イギリス、1773〜1829)が行った実験について説明する。

ナトリウム灯などの単色光源を、図3.1のように、まず1本の細いすき間S1(第1スリット)に通し、その光を
近接した(1mm以下の)平行な2本の細いすき間S2、S3(第2スリット)に通して、スクリーンPに受ける。光は
S1から同時に出て、S2、S3を通ってスクリーン上のBに達するが、S2BとS3Bとの距離の差が光学距離の差
(光路差)となり、これによって生じた位相のずれにより、光波が強め合ったり弱め合ったりして、スクリーンP
上に明暗のしま(干渉じま)ができる。
ここで、明暗のできる条件を考えてみると、この単色光源の波長をλ[m]として、光路差が半波長の偶数倍
のとき強め合い、奇数倍のとき弱め合うから、
(3.1)
のとき明るく、
(3.2)
のとき暗くなる。
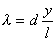
式(3.2)の明るいしまの条件式で、m=1とすると、
または、
(3.3)
という関係式が得られる。この式を用いると、ヤングの実験から光の波長を求めることができるが、光の
波長λ[m]はきわめて小さいので、d[m]をきわめて小さくし、l(小文字のLで〜す)[m]を相当大きくしないと、
干渉じまの間隔y[m]が小さくて測定できない。